○高崎市工場立地法に基づく地域準則条例

平成29年3月31日

条例第18号

(趣旨)

第1条 この条例は、工場立地法(昭和34年法律第24号)第4条の2第1項の規定に基づき、工場立地に関する準則(平成10年大蔵省・厚生省・農林水産省・通商産業省・運輸省告示第1号。以下「法準則」という。)に代えて適用すべき準則を定めるものとする。

(定義)

第2条 この条例において使用する用語は、工場立地法において使用する用語の例による。

(区域及び緑地面積率等)

第3条 この条例の規定が適用される区域及び当該区域における緑地面積率等は、次の表のとおりとする。

区域

緑地の面積の敷地面積に対する割合(以下「緑地面積率」という。)

環境施設の面積の敷地面積に対する割合

都市計画法(昭和43年法律第100号)第8条第1項第1号の準工業地域(以下「準工地域」という。)

100分の10以上

100分の15以上

都市計画法第8条第1項第1号の工業地域及び工業専用地域(以下「工業・工専地域」という。)

100分の5以上

100分の10以上

都市計画法第8条第1項第1号の用途地域の指定のない区域(以下「用途無指定区域」という。)及び都市計画区域外の区域

100分の10以上

100分の15以上

2 工場立地法施行規則(昭和49年大蔵省・厚生省・農林省・通商産業省・運輸省令第1号)第4条に規定する緑地以外の環境施設以外の施設又は同条第1号トに掲げる施設と重複する土地及び同令第3条に規定する建築物屋上等緑化施設については、敷地面積に緑地面積率を乗じて得た面積の100分の50の割合を超えて緑地面積率の算定に用いる緑地の面積に算入することができない。

(敷地が2以上の区域にわたる場合の適用)

第4条 製造業等に係る工場又は事業場(以下「工場等」という。)の敷地が準工地域、工業・工専地域、用途無指定区域、都市計画区域以外の区域又は前条第1項に規定する区域以外の区域のうち2以上の区域にわたる場合、当該敷地のそれぞれの区域に存する部分の面積の敷地面積に対する割合(以下「敷地割合」という。)につき、準工地域、工業・工専地域、用途無指定区域又は都市計画区域外の区域の敷地割合が最も高いときは当該敷地割合が最も高い区域に係る同項の表の規定を当該工場等の敷地の全部に適用し、同項に規定する区域以外の区域の敷地割合が最も高いときはこの条例の規定を当該工場等の敷地の全部に適用しない。

(他の地方公共団体との協議)

第5条 市長は、工場等の敷地が本市に隣接する地方公共団体の区域にわたるときは、当該地方公共団体の長と協議し、当該工場等についてこの条例の規定と異なる緑地面積率等を定めることができる。

1 この条例は、平成29年4月1日から施行する。

2 昭和49年6月28日に設置されている工場等又は設置のための工事が行われている工場等(以下「既存工場等」という。)において、生産施設の面積の変更(生産施設の面積の減少を除く。以下同じ。)が行われるときは、第3条の規定に適合する緑地及び環境施設の面積の算定は、次の各号に掲げる場合の区分に応じ、当該各号に定める表に規定する式によって行うものとする。

(1) 既存工場等が法準則別表第1の上欄に掲げる一の業種に属する場合

区域

生産施設の面積の変更に伴い設置する緑地の面積

生産施設の面積の変更に伴い設置する環境施設の面積

準工地域

画像ただし、画像のときはG≧0.1S-G1とし、0.1S-G1≦0のときはG≧0とする。

画像ただし、画像のときはE≧0.15S-E1とし、0.15S-E1≦0のときはE≧0とする。

工業・工専地域

画像ただし、画像のときはG≧0.05S-G1とし、0.05S-G1≦0のときはG≧0とする。

画像ただし、画像のときはE≧0.1S-E1とし、0.1S-E1≦0のときはE≧0とする。

用途無指定区域及び都市計画区域外の区域

画像ただし、画像のときはG≧0.1S-G1とし、0.1S-G1≦0のときはG≧0とする。

画像ただし、画像のときはE≧0.15S-E1とし、0.15S-E1≦0のときはE≧0とする。

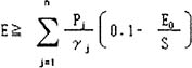
(2) 既存工場等が法準則別表第1の上欄に掲げる二つ以上の業種に属する場合

区域

生産施設の面積の変更に伴い設置する緑地の面積

生産施設の面積の変更に伴い設置する環境施設の面積

準工地域

画像ただし、画像のときはG≧0.1S-G1とし、0.1S-G1≦0のときはG≧0とする。

画像ただし、画像のときはE≧0.15S-E1とし、0.15S-E1≦0のときはE≧0とする。

工業・工専地域

画像ただし、画像のときはG≧0.05S-G1とし、0.05S-G1≦0のときはG≧0とする。

画像ただし、画像のときはE≧0.1S-E1とし、0.1S-E1≦0のときはE≧0とする。

用途無指定区域及び都市計画区域外の区域

画像ただし、画像のときはG≧0.1S-G1とし、0.1S-G1≦0のときはG≧0とする。

画像ただし、画像のときはE≧0.15S-E1とし、0.15S-E1≦0のときはE≧0とする。

備考 表の式における記号は、それぞれ次の数値を表すものとする。

G 当該変更に伴い設置する緑地の面積

P 当該変更に係る生産施設の面積

γ 当該既存工場等が属する法準則別表第1の上欄に掲げる業種についての同表の下欄に掲げる割合

G0 当該変更に係る届出前に設置されている緑地(当該届出前に届け出られた緑地の面積の変更に係るものを含む。以下同じ。)の面積の合計のうち、昭和49年6月29日以降の当該変更以外の生産施設の面積の変更に伴い最低限設置することが必要な緑地の面積の合計を超える面積

S 当該既存工場等の敷地面積

G1 当該変更に係る届出前に設置されている緑地の面積の合計

E 当該変更に伴い設置する環境施設の面積

E0 当該変更に係る届出前に設置されている環境施設(当該届出前に届け出られた環境施設の面積の変更に係るものを含む。以下同じ。)の面積の合計のうち、昭和49年6月29日以降の当該変更以外の生産施設の面積の変更に伴い最低限設置することが必要な環境施設の面積の合計を超える面積

E1 当該変更に係る届出前に設置されている環境施設の面積の合計

n 当該既存工場等が属する業種の個数

Pj 当該変更に係るj業種に属する生産施設の面積

γj j業種についての法準則別表第1の下欄に掲げる割合

高崎市工場立地法に基づく地域準則条例

平成29年3月31日 条例第18号

(平成29年4月1日施行)